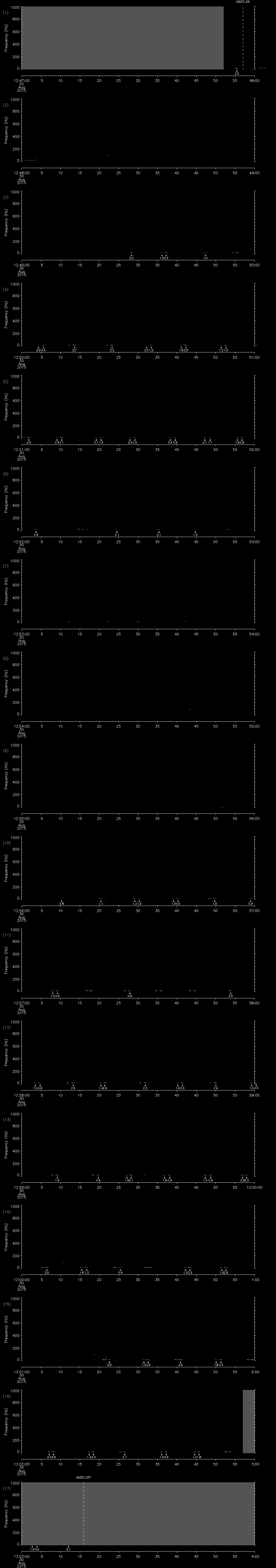
| Date/time | Sei whale | Fin whale | Right whale | Humpback whale | Other | Duration |
|---|
| 08/30/15 13:02:57 | 0 | 88 | 0 | 0 | 53 | 900 |
Back     Next
AUTHORIZED USE ONLY
Please do not fill out the form below unless specifically authorized to do so
Form submitted:  Yes
Manual analysis:
All times are in local time zone
Pitch tracks shown for calls 11 dB above background or higher
Pitch tracks colored according to amplitude: cooler colors are quieter, warmer colors are louder
If a pitch track has been successfully classified, the call type and Mahalanobis distance will be reported below the call. Call types are as follows:
- Sei whale downsweep: call types 1-3
- Fin whale 20-Hz pulse: call type 4
- Right whale upcall: call types 5-8
- Humpback whale (various calls): call types 15-20
Dashed vertical lines indicate the following DMON events:
- MUTEON: the hydrophone is muted to assess system noise and to provide a time mark in the audio recording
- MUTEOFF: the hydrophone is unmuted and normal recording has resumed
- ADDET_OFF: a maximum of 8 KB of pitch track data per hour is transmitted by the glider. The ADDET_OFF message indicates that this limit has been reached.
- ADDET_ON: transmission of pitch track data has resumed
- $ADRUN, 0: the glider has reached the surface and will begin data transmission home, so pitch tracking is terminated
- $ADRUN, 3: the glider has finished data transmission at the surface and is initiating a dive, so pitch tracking has resumed
Back     Next