| Date/time | Sei whale | Fin whale | Right whale | Humpback whale | Other | Duration |
|---|
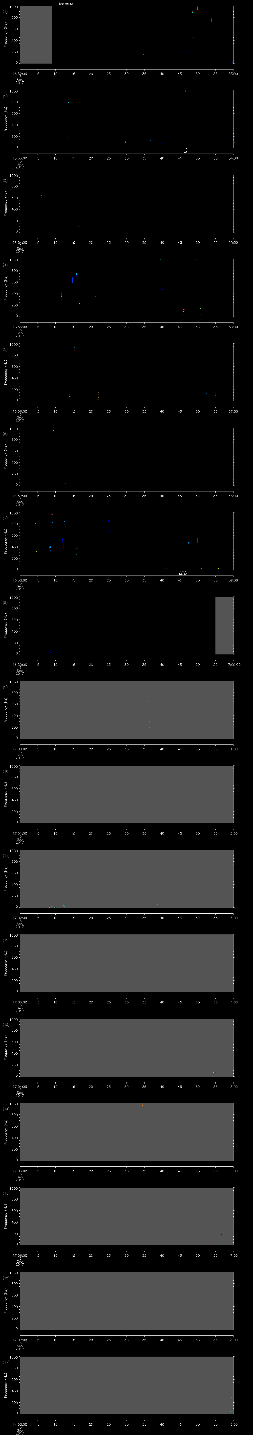
| 09/03/17 15:59:55 | 0 | 3 | 0 | 2 | 104 | 461 |
Back     Next
Back     Next
AUTHORIZED USE ONLY
Please do not fill out the form below unless specifically authorized to do so
Form submitted:  Yes
Manual analysis:
All times are in local time zone
Pitch tracks shown for calls 11 dB above background or higher
Pitch tracks colored according to amplitude: cooler colors are quieter, warmer colors are louder
If a pitch track has been successfully classified, the call type and Mahalanobis distance will be reported below the call. Call types are as follows:
- Sei whale: 1, 2 and 3
- Fin whale: 4
- Right whale: 5, 6, 7 and 8
- Humpback whale: 15, 16, 17, 18, 19 and 20
Dashed vertical lines indicate the following DMON events:
- MUTEON: the hydrophone is muted to assess system noise and to provide a time mark in the audio recording
- MUTEOFF: the hydrophone is unmuted and normal recording has resumed
- ADDET_OFF: a maximum of 8 KB of pitch track data per hour is transmitted by the glider. The ADDET_OFF message indicates that this limit has been reached.
- ADDET_ON: transmission of pitch track data has resumed
- $ADRUN, 0: the glider has reached the surface and will begin data transmission home, so pitch tracking is terminated
- $ADRUN, 3: the glider has finished data transmission at the surface and is initiating a dive, so pitch tracking has resumed
Back     Next